北京東方園林股份有限公司藝術總監石有環發言(圖)
中國風景園林網訊 2008年12月20日,全國園林工程建設與企業管理經驗交流會暨全國園林綠化企業聯誼會在重慶市隆重召開,本次會議旨在加強風景園林工程建設與企業管理方面的經驗交流工作,促進城市園林工程建設和企業管理水平的提高,進一步增強城市園林綠化企業的自我發展能力。
此次會議由全國園林綠化企業聯誼會組委會、中國風景園林學會信息委員會和重慶市風景園林學會主辦,重慶華宇、長龍、金點、園林建、渝西、美欣、英才等一級園林綠化工程公司承辦,中國建設報社、中國風景園林網(www.www.keyeylf.com)、《園林科技》編輯部協辦。來自建設部、全國各地的近百家城市園林綠化一級資質企業的負責人參加此次會議。

北京東方園林股份有限公司藝術總監石有環發言
北京東方園林股份有限公司藝術總監石有環到會發言,他的發言題目是:架起設計與施工的橋梁。
藝術總監――架起設計與施工的橋梁
困惑:
來自設計師的困惑
來自發展商的困惑
來自施工單位的困惑
問題的解決:
藝術總監制度
藝術總監系統

精品園林之產生:
優秀的設計師――觀點
藝術總監――橋梁
匠師――實施
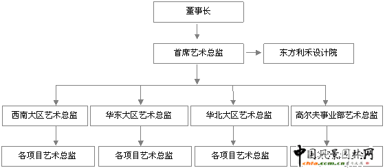
藝術總監系統架構

說明:各大區藝術總監應具備方案、施工圖能力,在設計院工作十年以上,副院長以上級別。
藝術總監系統的工作內容
一.施工前的準備
(一) 藝術標――對于優秀設計的理解及對施工的指導作用――由藝術總監完成
藝術標的目的:
理解設計
尊重設計
關注細節
過程控制
創造精品




編輯:songgaofeng